Jawapan Matematik Tingkatan 3 Uji Minda 1.2E

Jawapan matematik tingkatan 1 ujian 1 matematik tingkatan 3 matematik tingkatan 4 jawapan buku teks matematik tingkatan 3 jawapan mindanao jawapan buku hybrid matematik tingkatan 3 jawapan buku teks matematik tingkatan 5 kssm jawapan matematik tingkatan 2 jawapan matematik tingkatan 4 kssm

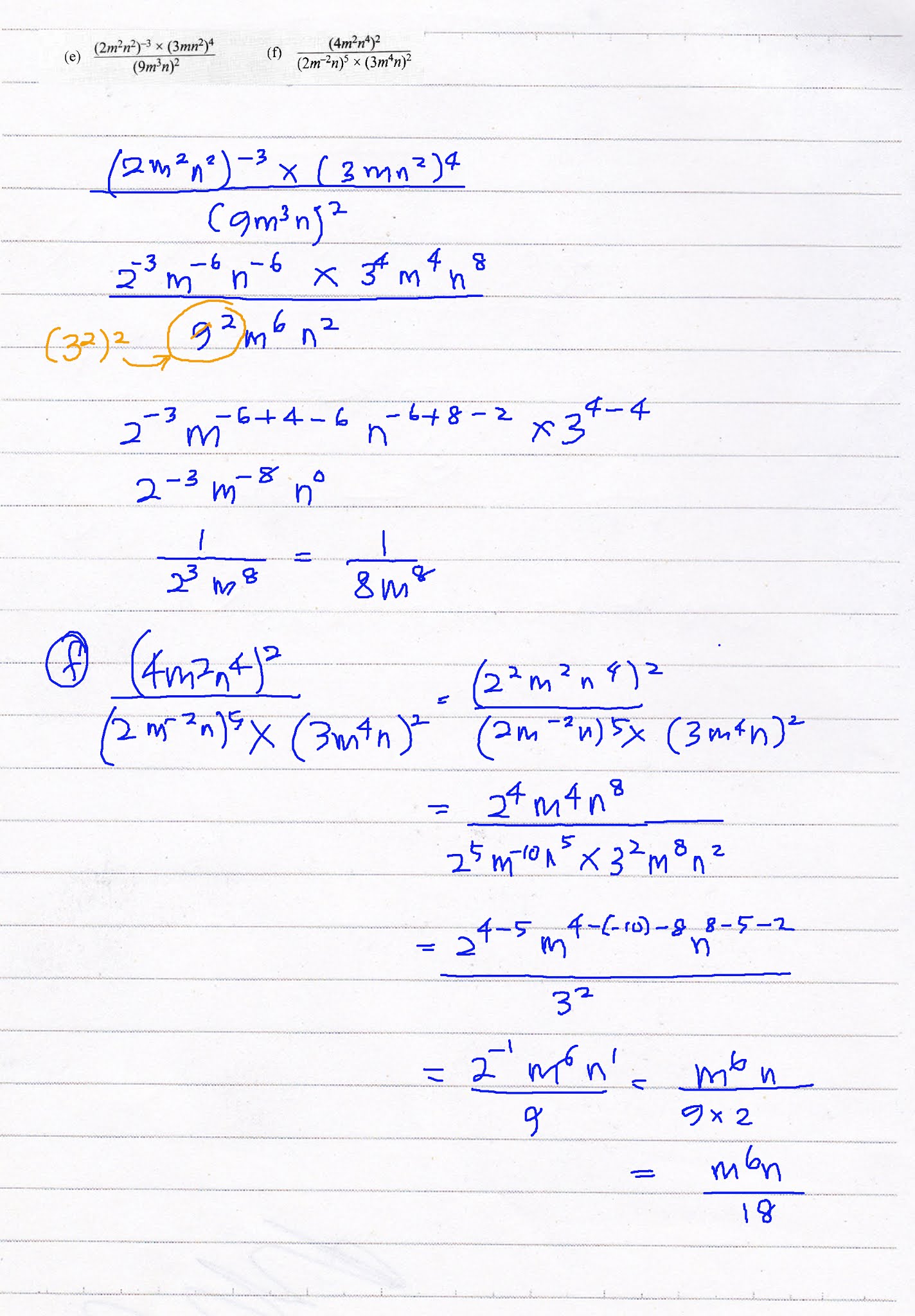
Jawapan Matematik Tingkatan 3 Uji Minda 1.2E. Kssm matematik tingkatan 3 bab 1 indeks uji minda 1.2e no2 buku teks form 1 pt3 permudahkan setiap yang berikut. Kssm matematik tingkatan 3 bab 1 indeks hukum indeks uji minda 1.2e no3 buku teks form 1 pt3permudahkan setiap yang berikut.

F3 Math Bab 6 Tangen Kepada Bulatan Uji Minda 6 3e
F3 Math Bab 6 Tangen Kepada Bulatan Uji Minda 6 3e from 1.bp.blogspot.com
Jul 31, 2021 · galus matematik tingkatan 3 jawapan buku,. Bab1 indeks >>> uji minda 1.2c ms 10 >>> uji minda 1.2e ms 13 >>> uji minda . Kssm matematik tingkatan 3 bab 1 indeks hukum indeks uji minda 1.2e no1 buku teks form 1 pt3ringkaskan setiap yang berikut.

>>> uji minda 1.2f ms 16.

Semak jawapan menyemak jawapan dengan kaedah alternatif. Penerbitan pelangi sdn bhd jawapan matematik tingkatan 3 from. Jawapan bab 1 indeks uji minda 1.2c. Kssm matematik tingkatan 3 bab 1 indeks hukum indeks uji minda 1.2e no1 buku teks form 1 pt3ringkaskan setiap yang berikut.

https://nichols.my.id/how-to-recover-excel-file-last-saved.html

.

Jawapan Matematik Tingkatan 3 Uji Minda 1.2E. There are any Jawapan Matematik Tingkatan 3 Uji Minda 1.2E in here.